YURTHABER

Kapat

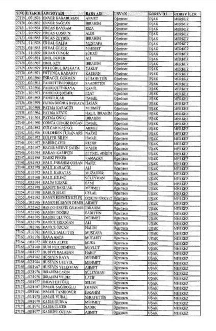
Uşak’ta 278 Öğretmen Meslekten Çıkarıldı

15 Temmuz FETÖ/PDY darbe girişiminin ardından başlatılan soruşturmada açığa alınan öğretmenlerle ilgili 673 sayılı Kanun...

Uşak’ta 278 Öğretmen Meslekten Çıkarıldı

15 Temmuz FETÖ/PDY darbe girişiminin ardından başlatılan soruşturmada açığa alınan öğretmenlerle ilgili 673 sayılı Kanun Hükmünde Kararname yayımlandı.Resmi Gazete’de yayınlanan 673 sayılı Kanun Hükmünde Kararnameye göre Uşak’ın Banaz ilçesinde 9, Eşme’de 27, Sivaslı’da 11, Ulubey’de 15, Karahallı’da 7 ve merkezde 209 kişi olmak üzere toplam 278 öğretmenin meslekten çıkarıldığı duyuruldu.

Uşak’ta 278 Öğretmen Meslekten Çıkarıldı

15 Temmuz FETÖ/PDY darbe girişiminin ardından başlatılan soruşturmada açığa alınan öğretmenlerle ilgili 673 sayılı Kanun...

Anadolu Ajansı ve İHA tarafından yayınlanan yurt haberleri Mynet.com editörlerinin hiçbir müdahalesi olmadan, sözkonusu ajansların yayınladığı şekliyle mynet sayfalarında yer almaktadır. Yazım hatası, hatalı bilgi ve örtülü reklam yer alan haberlerin hukuki muhatabı, haberi servis eden ajanslardır. Haberle ilgili şikayetleriniz için bize ulaşabilirsiniz

En Çok Aranan Haberler

Kapat